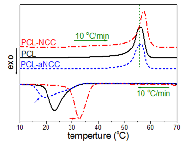
纤维素纳米晶增强的生物可降解高分子是非常有趣的复合体系,这是由于其基体和填料都具生物可降解性,因此该复合材料是完全绿色的。通常来说,异相粒子的引入对于高分子基体来说具有成核作用,不过研究工作却发现纤维素纳米晶经表面乙酰化后,不仅不会提升高分子基体的结晶温度,反而明显降低了基体的结晶温度。到底纤维素纳米晶能否作为异相成核剂,异相成核能力和纳米粒子的表面性质之间有何联系,是值得深入探讨的问题。

该文于2017年1月发表在Composites Part A: Applied Science & Manufacturing上,并于2017年12月入选ESI高被引论文,主要工作由已毕业的2017届高分子化学与物理硕士生吕巧莲完成。

